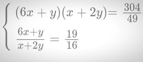
решить систему, состоящую из квадратного и рационального уравнений, метод умножения.
уравнение на фото. решить с подробным объяснением.
алгебра, 8 класс.
решать обязательно методом умножения.
Приложения:

Ответы
Ответ дал:
3
Решение находиться на фотографии
Приложения:

Cohendd:
Блеск!)))
Вас заинтересует
1 год назад
1 год назад
1 год назад
2 года назад
2 года назад
8 лет назад