• Предмет: Алгебра
  • Автор: alinakydyrbaeva711
  • Вопрос задан 1 год назад

ПОМОГИТЕ ПОЖАЛУЙСТА СРОЧНО!!! ДАМ 20 БАЛЛОВ ​

Приложения:

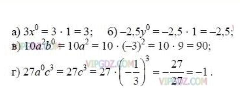
Ответы

Ответ дал: nazgulergesova70
1

Ответ:

вродебы всё правильно!

Объяснение:

удачи)

Приложения:
Вас заинтересует