• Предмет: Математика
  • Автор: Bogdan7778920
  • Вопрос задан 1 год назад

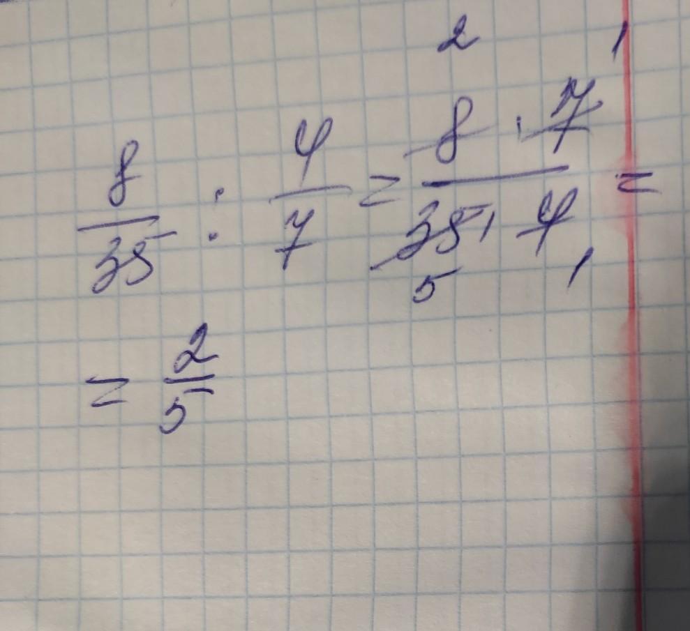
СРОЧНО частка чисел 8/35 і 4/7

Ответы

Ответ дал: aseewa777
1

Пошаговое объяснение:

пояснення на фотоооооооо

Приложения:

Bogdan7778920: Спасибо
Вас заинтересует