• Предмет: Алгебра
  • Автор: mariasidorenko0112
  • Вопрос задан 1 год назад

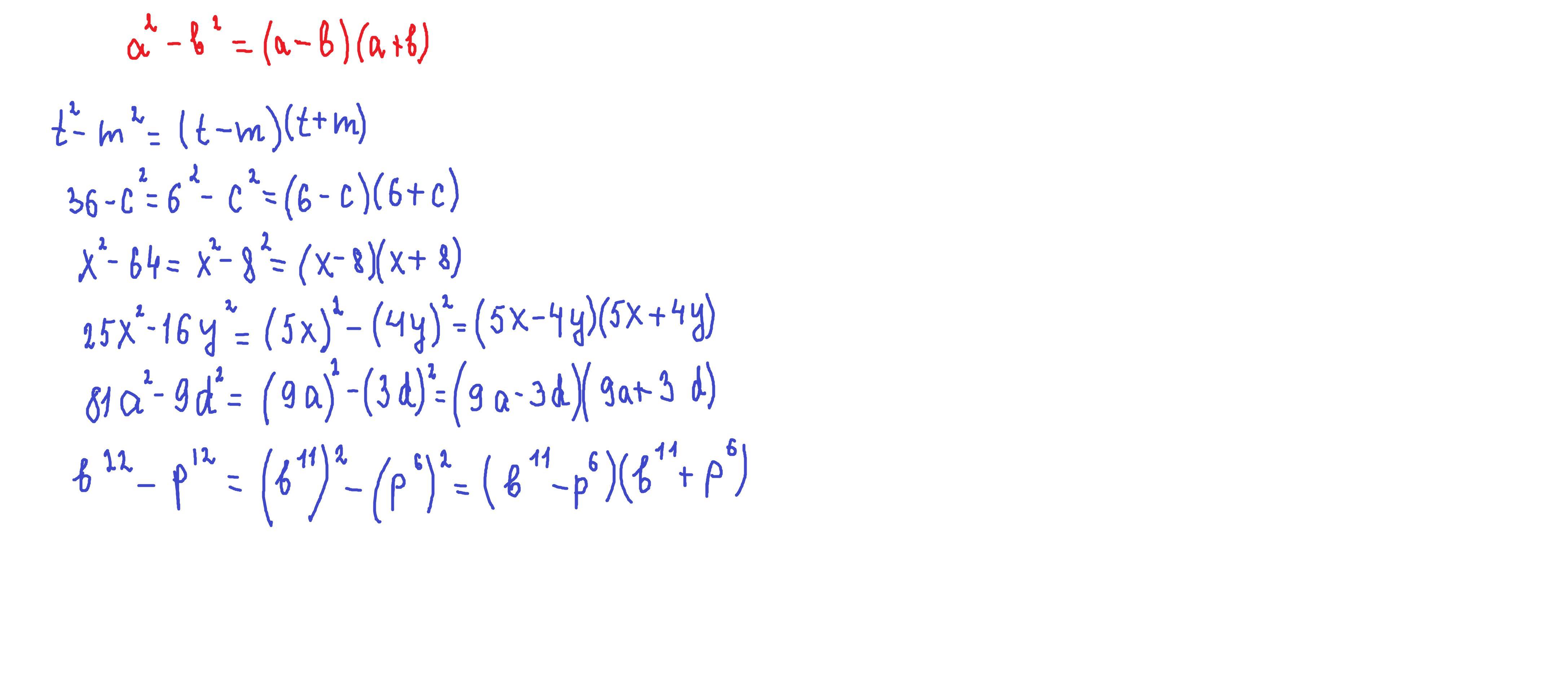
Подайте у вигляді добутку многочлен:
1) t² - m²
2) 36 - c²
3) x² - 64
4) 25x² - 16y²
5) 81a² - 9d²
6) b²² - p¹²
ДОПОМОЖІТЬ ПЛС

Ответы

Ответ дал: parus77
1

Ответ:

Объяснение:

применяем формулу разность квадратов

Приложения:
Вас заинтересует