Ответы
Ответ дал:
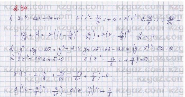
1
надеюсь помогло!
пожалуйста сделайте лучшим ответом
Приложения:


Вас заинтересует
1 год назад
1 год назад
1 год назад
2 года назад
2 года назад
8 лет назад