Люди срочно помогите дам 50 балов, 6 клас не можем ришить пример нужно пошаговое решение вот и пример: (⅗+⅐)*35=? Помогите
Ответы
Ответ дал:
1
Ответ:
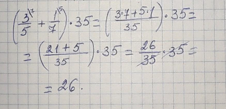
= 26
Пошаговое объяснение:
(3/5 + 1/7) * 35
1. Найдем общий знаменатель для дробей 3/5 и 1/7. Общим знаменателем будет 35, так как 5 и 7 делятся нацело на 35.
(3/5 + 1/7) * 35 = ((3 * 7) / (5 * 7) + (1 * 5) / (7 * 5)) * 35
=(21/35 + 5/35) * 35
2. Выполним сложение дробей в скобках:
=(26/35) * 35
3. Умножим числитель на 35:
=26 * 35 / 35
4. Ответ:
= 26
Ответ дал:
1
Ответ:
..........
Пошаговое объяснение:
................
Приложения:

Вас заинтересует
1 год назад
1 год назад
1 год назад
1 год назад
2 года назад
2 года назад
8 лет назад