• Предмет: Алгебра
  • Автор: pomogite11221
  • Вопрос задан 1 год назад

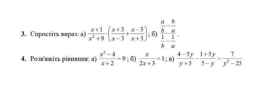
Помогите даю 100 балоВ!!!

Приложения:

Ответы

Ответ дал: rimurmur7
0

Ответ:

3. a)2x+2

x²-9

б)а²-b²

ab

a-b

ab

4. a)x=2

б)х=-3

в)у=2 или у=0,4

5

Вас заинтересует