• Предмет: Математика
  • Автор: bzakunec
  • Вопрос задан 1 год назад

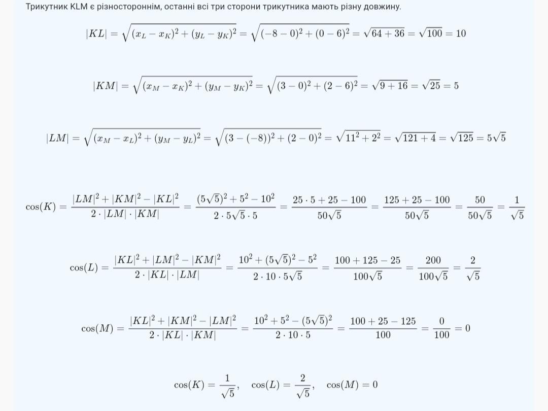
Знайдіть косинуси кутів трикутника KLM, де К(0; 6), L(-8; 0) i M(3; 2). З'ясуйте вид трикутника. ​

Ответы

Ответ дал: skrujjiman
4

Ответ:

Пошаговое объяснение:

Приложения:
Вас заинтересует