Ответы
Ответ дал:
1
Відповідь:
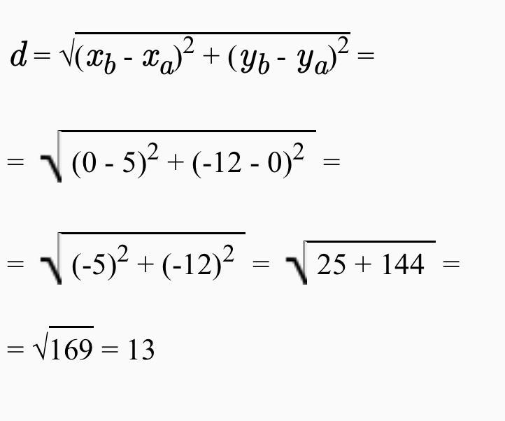
Застосуємо формулу відстані між двома точками:
AB = √((x₂ - x₁)² + (y₂ - y₁)²)
A(5, 0), B(0, -12)
x₁ = 5, x₂ = 0
y₁ = 0, y₂ = -12
AB = √((0 - 5)² + (-12 - 0)²)
= √((-5)² + (-12)²)
= √(25 + 144)
= √169
= 13
Отже, довжина відрізка AB дорівнює 13.
Ответ дал:
1
Вирішене завдання на фото
Приложения:

Вас заинтересует
1 год назад
1 год назад
1 год назад
1 год назад
2 года назад
8 лет назад
8 лет назад