• Предмет: Математика
  • Автор: meyafo13
  • Вопрос задан 1 год назад

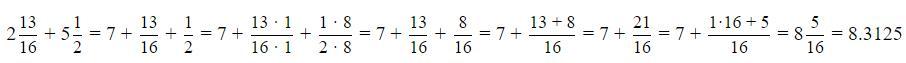
2 13/16+ 5 1/2= ПОЖАЛУСТА КТО ПОМОЖЕТ ДАМ 20БАЛЛОВ​

Ответы

Ответ дал: Lera89012
1

//////////////////////////

Приложения:

meyafo13: спасибо
Lera89012: Обращайтесь)
Вас заинтересует