Ответы
Ответ дал:
0
Ответ:
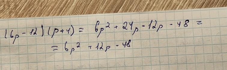
Все на фото (20 символов тоже)
Приложения:

Вас заинтересует
1 год назад
1 год назад
1 год назад
2 года назад
2 года назад
8 лет назад