Ответы
Ответ дал:
1
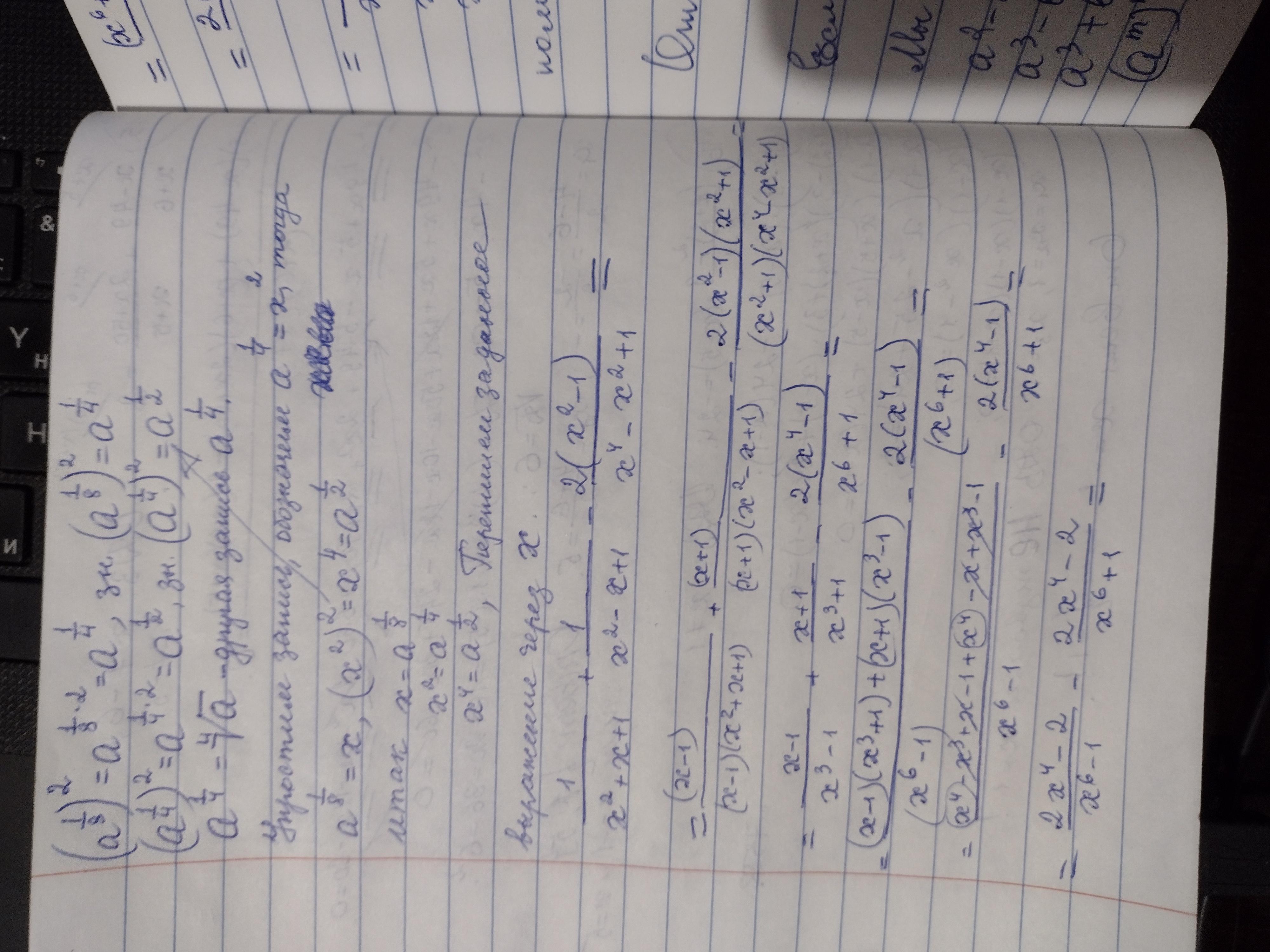
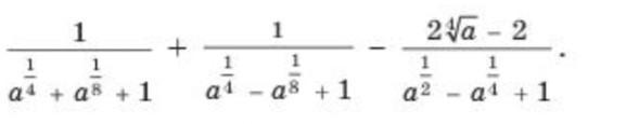
Ответ:
Объяснение: см. решение в двух файлах ниже.
Приложения:


rahimzansahmetov:
Благодарю
Вас заинтересует
1 год назад
1 год назад
1 год назад
2 года назад
8 лет назад