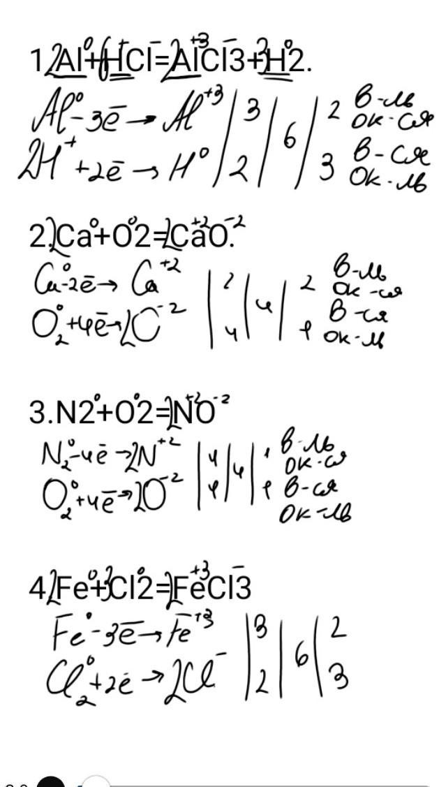
скласти окисно-відновні реакції використавши метод електронного балансу 1.Al+HCl=AlCl3+H2. 2.Ca+O2=CaO. 3.N2+O2=NO 4.Fe+Cl2=FeCl3
Ответы
Ответ дал:
1
1. Ставим степени окисления
2. смотрим что изменилось
3.стр.элект.баланс
в-ль - восстановитель
ок-ся - окислелся
в-ся - восстановился
ок-ль - окислитель
Приложения:

zajcevandrej523:
большое спасибо за объяснение
Вас заинтересует
1 год назад
1 год назад
1 год назад
2 года назад
2 года назад