• Предмет: Алгебра
  • Автор: denpotop823
  • Вопрос задан 2 года назад

СРОЧНО ПОМОГИТЕ !!!!
ДАЮ 40 балов

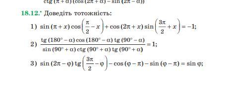
Приложения:

Ответы

Ответ дал: Universalka
0

\displaystyle\bf\\1)\\\\Sin(\pi +x)Cos\Big(\frac{\pi }{2} -x\Big)+Cos(2\pi +x)Sin\Big(\frac{3\pi }{2}+x\Big)=\\\\\\=-Sinx\cdot Sinx+Cosx\cdot (-Cosx)=-(Sin^{2} x+Cos^{2} x)=-1\\\\2)\\\\\frac{tg(180^\circ-\alpha )Cos(180^\circ-\alpha )tg(90^\circ-\alpha )}{Sin(90^\circ+\alpha )Ctg(90^\circ+\alpha )tg(90^\circ+\alpha )} =\\\\\\=\frac{-tg\alpha \cdot (-Cos\alpha )\cdot Ctg\alpha }{Cos\alpha \cdot 1} =\frac{Cos\alpha }{Cos\alpha } =1\\\\3)

\displaystyle\bf\\Sin(2\pi -\varphi )tg\Big(\frac{3\pi }{2} -\varphi\Big)-Cos(\varphi-\pi )-Sin(\varphi-\pi )=\\\\\\=-Sin\varphi\cdot Ctg\varphi-(-Cos\varphi)+Sin\varphi=\\\\\\=-Sin\varphi\cdot \frac{Cos\varphi}{Sin\varphi} +Cos\varphi+Sin\varphi=\\\\\\=-Cos\varphi+Cos\varphi+Sin\varphi=Sin\varphi

Вас заинтересует