• Предмет: Алгебра
  • Автор: kamanolama727299
  • Вопрос задан 2 года назад

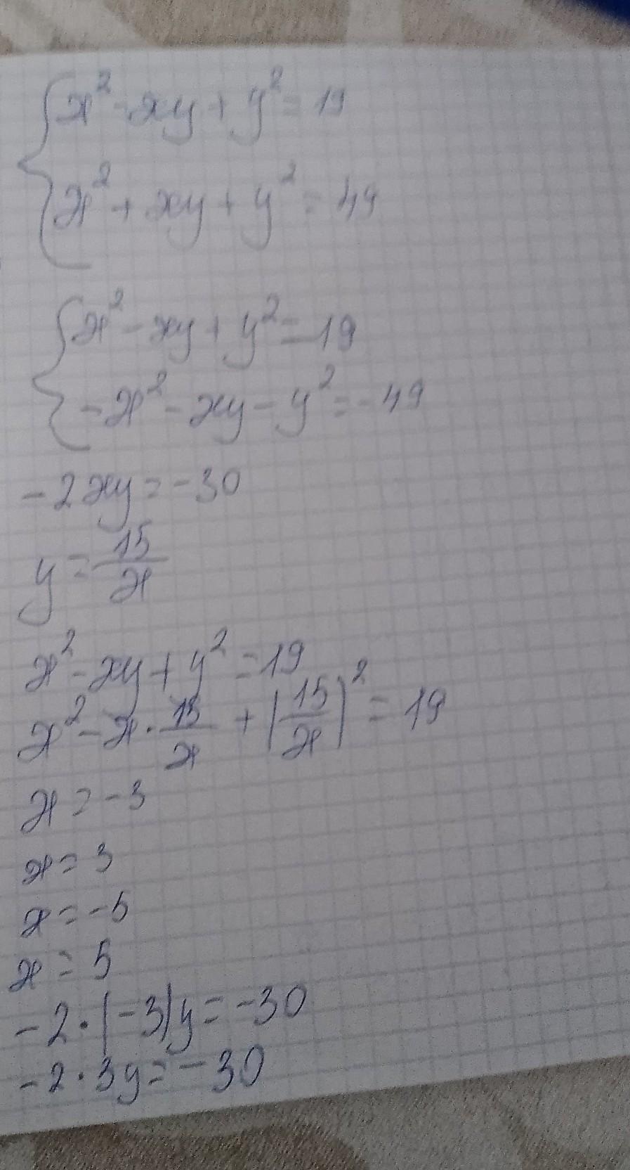
Помогите пожалуйста

Приложения:

Ответы

Ответ дал: vanakuriluk6
0

Ответ:

(х1, у1)=(-3,-5)

(х2,у2)=(3,5)

(х3,у3)=(-5,-3)

(х4,у4)=(5,3)


lolopo2376: а да хорошист это очень малое звание
lolopo2376: мой основной акк удалили
vanakuriluk6: молодец
vanakuriluk6: ты задолбал в каком ты класе
lolopo2376: в 8
vanakuriluk6: о я тоже
vanakuriluk6: кароче расход и все
lolopo2376: как хочешь
vanakuriluk6: и я тебя не трогаю и ты меня
kamanolama727299: Спасибо!
Ответ дал: lolopo2376
0

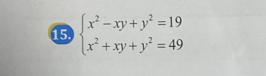
Ответ:

все решения на фотографиях

Приложения:

kamanolama727299: Спасибо!
Вас заинтересует