Ответы
Ответ дал:
2
Ответ:
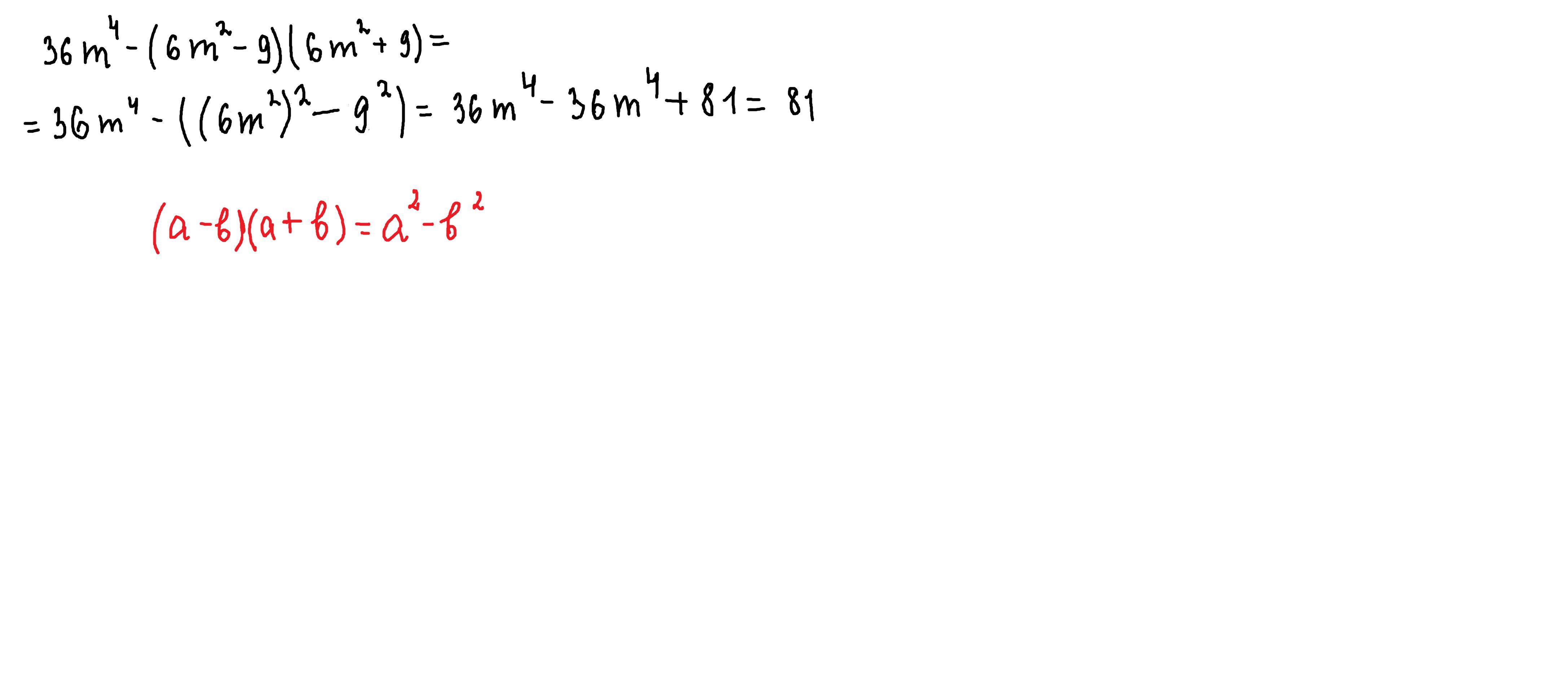
81
Объяснение:
решение внизу
Приложения:

fedcenkop965:
Добрый день, помогите мне, пожалуйста, у моих вопросах с заданием по алгебре 10 класу, ПРОШУ ВАС
Вас заинтересует
1 год назад
1 год назад
2 года назад