Будь ласка допоможіть із вирішенням
Приложения:

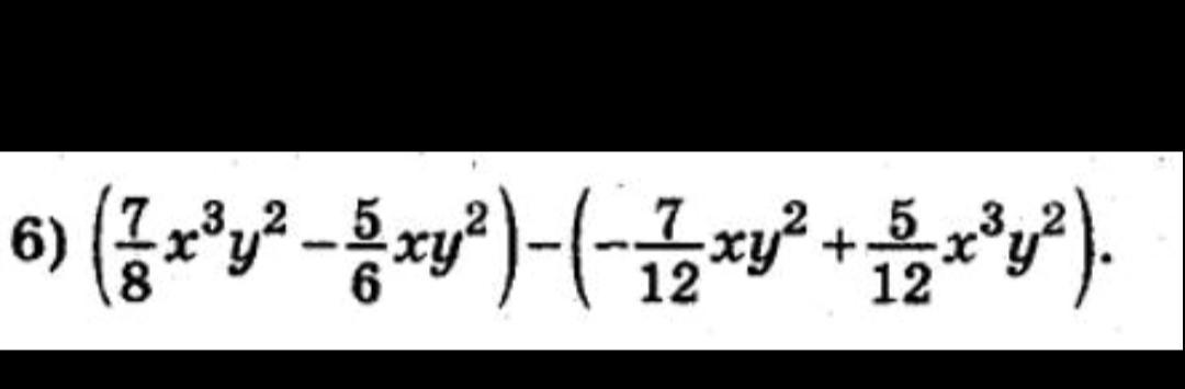
ВикаБач:
=x^3*y^2*(7/8-5/12) + x*y^2*(7/12-5/6)=x*y^2*((21/24-10/24)*x^2 + (7/12-10/12))=x*y^2(11/24 * x^2 -1/4)=x*y^2*(11*x^2 - 6)/24. Перепроверь, некрасивій ответ какой-то...
Ответы
Ответ дал:
0
Ответ:
Объяснение:
Вас заинтересует
1 год назад
1 год назад
1 год назад
1 год назад
2 года назад