• Предмет: Алгебра
  • Автор: Аноним
  • Вопрос задан 1 год назад

будь-ласка допоможіть з 9 завданням дам 100 балів

Приложения:

Ответы

Ответ дал: lolopo2376
1

Ответ:

все решения и объяснения на фото

поставь пж лучший ответ;)

Приложения:
Ответ дал: NNNLLL54
2

Ответ:

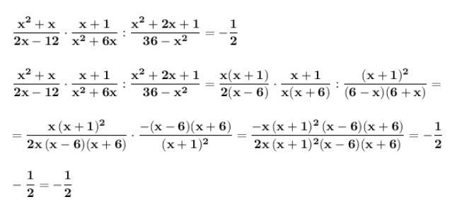
Доказать тождество .

\bf \displaystyle \frac{x^2+x}{2x-12}\cdot \frac{x+1}{x^2+6x}:\frac{x^2+2x+1}{36-x^2}=-\frac{1}{2}\\\\\\ \frac{x^2+x}{2x-12}\cdot \frac{x+1}{x^2+6x}:\frac{x^2+2x+1}{36-x^2}= \frac{x(x+1)}{2(x-6)}\cdot \frac{x+1}{x(x+6)}:\frac{(x+1)^2}{(6-x)(6+x)}=\\\\\\=\frac{x\, (x+1)^2}{2x\, (x-6)(x+6)}\cdot \frac{-(x-6)(x+6)}{(x+1)^2}=\frac{-x\, (x+1)^2\, (x-6)(x+6)}{2x\, (x+1)^2(x-6)(x+6)}=-\frac{1}{2}\\\\\\-\frac{1}{2}=-\frac{1}{2}

Тождество доказано .

Приложения:
Вас заинтересует