• Предмет: Математика
  • Автор: romakst25083012
  • Вопрос задан 1 год назад

помогите понять не могу (можете последнее тоже написать?) ​

Приложения:

mb5923756: Всего-лишь 5?! нуну
mb5923756: Это точно 1-4 класс?!

Ответы

Ответ дал: anuittta
0

Відповідь:

Покрокове пояснення:

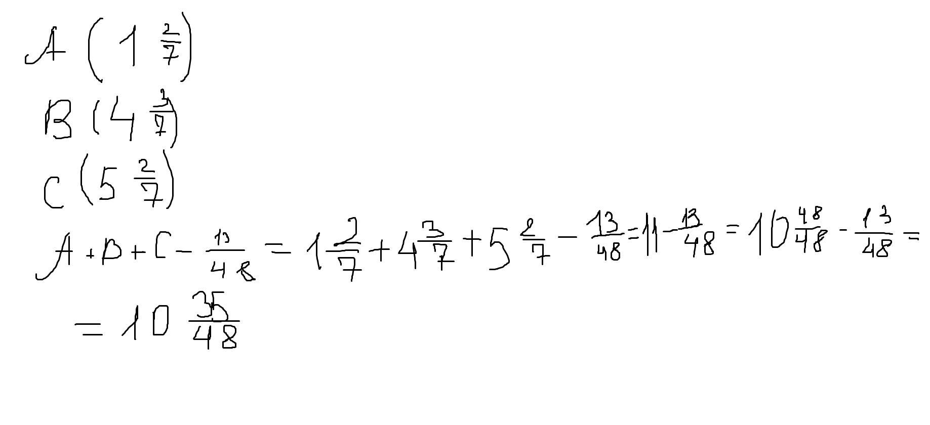
у вкладенні (спочатку обчислюєте ціну поділки, якщо з семи частин складається відстань від 0 до 1, то ціна однієї поділки 1/7

Приложения:

romakst25083012: спасибо огромное час сидел мучился не мог понять как это зделать
Вас заинтересует