• Предмет: Алгебра
  • Автор: moiseenkoila92
  • Вопрос задан 2 года назад

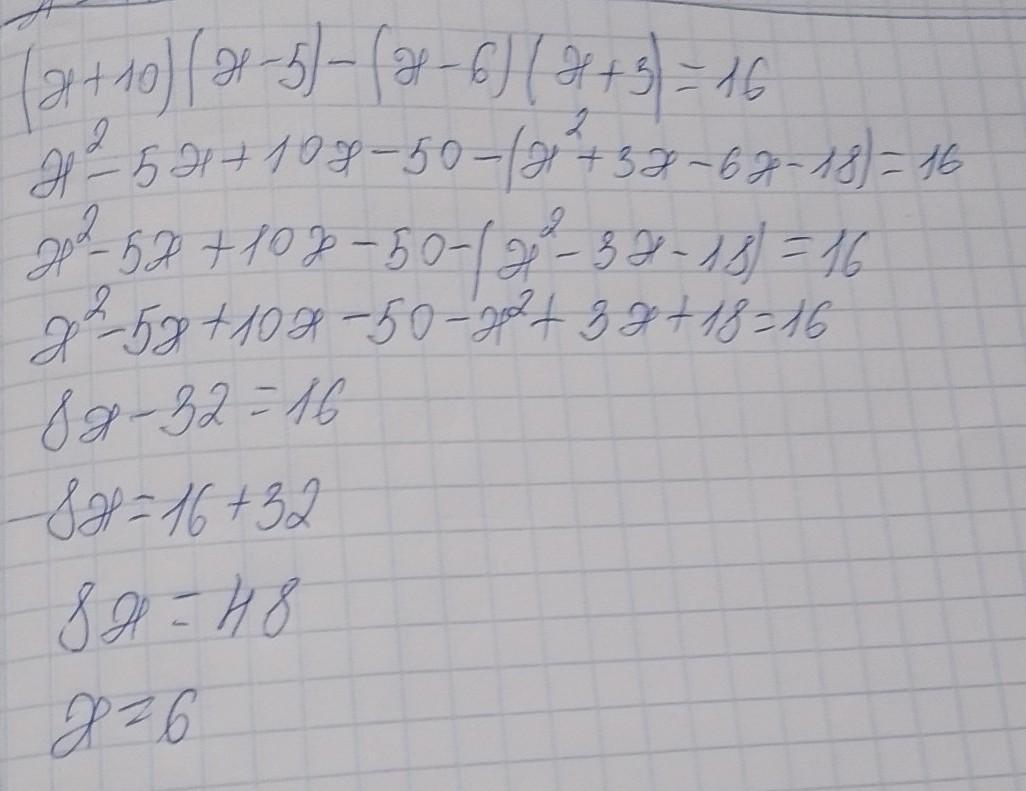
7 класс уровнение простое, я туплю алгебра даю 20 бал

Приложения:

Ответы

Ответ дал: lolopo2376
1

Ответ:

все решения и объяснения на фото

поставь пж лучший ответ;)

я старался

Приложения:
Вас заинтересует