Ответы
Ответ дал:
0
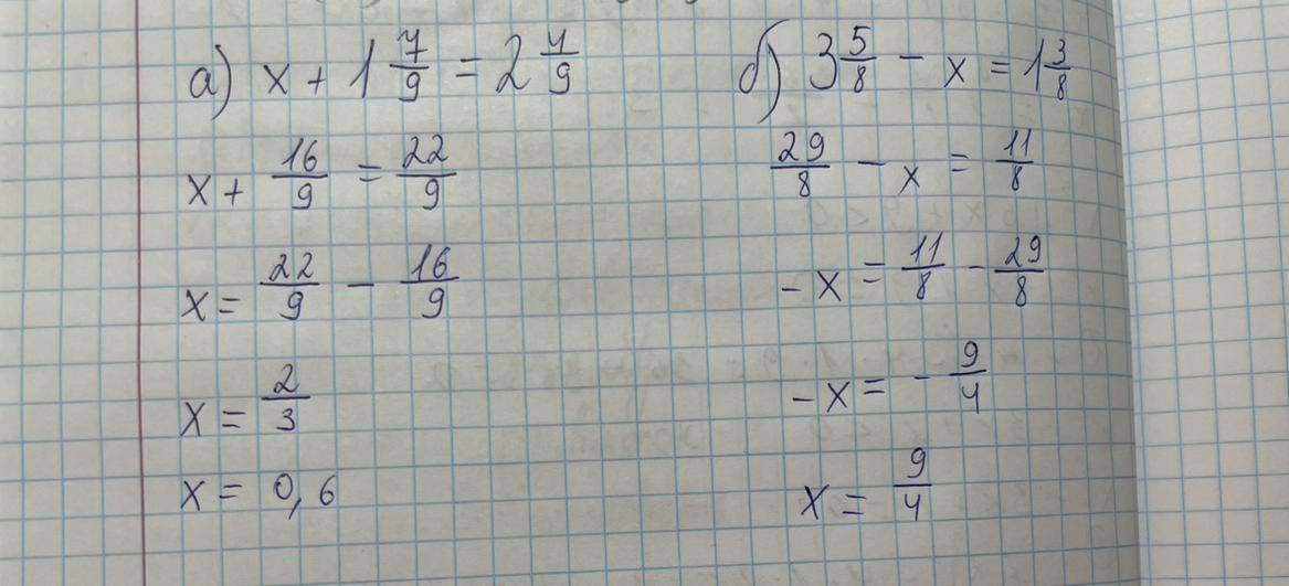
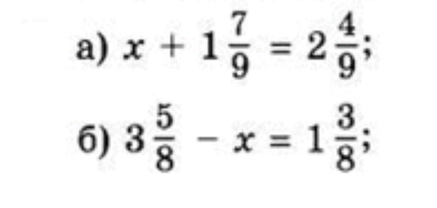
вот) надеюсь правильно
Приложения:

Вас заинтересует
1 год назад
1 год назад
2 года назад
2 года назад
8 лет назад