Допоможіть будь ласка, розкладіть многочлени на множники групування
Приложения:

Аноним:
скину розв‘язок в інст @mathematic_89
Ответы
Ответ дал:
1
Объяснение:
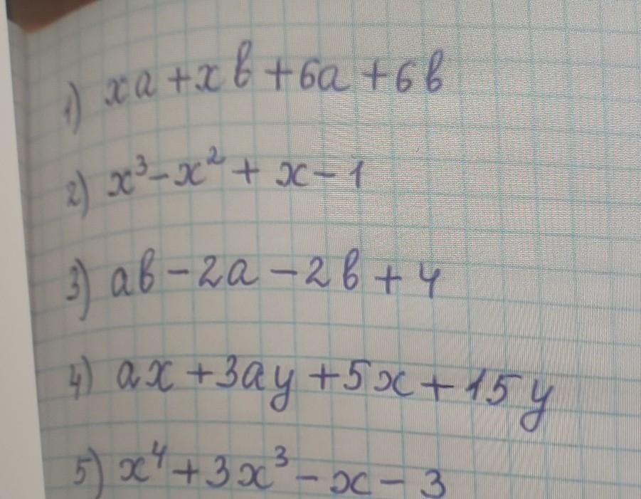
ха + хв + 6а + 6в = х(а + в) + 6(а + в) =
(а + в)*(х + 6)
х³ - х² + х - 1 = х²(х - 1) + х - 1 = (х - 1)*(х² + 1)
ав - 2а - 2в + 4 = а(в - 2) - 2(в - 2) = (в - 2)*(а - 2)
ах + 3ау + 5х + 15у = а(х + 3у) + 5(х + 3у) =
(х + 3у)*(а + 5)
х⁴ + 3х³ - х - 3 = х³(х + 3) - (х + 3) = (х + 3)*(х³ - 1) =
(х + 3)*(х - 1)*(х² + х + 1)
Вас заинтересует
1 год назад
1 год назад
1 год назад
2 года назад
2 года назад
8 лет назад