• Предмет: Математика
  • Автор: poputniypomogatel
  • Вопрос задан 1 год назад

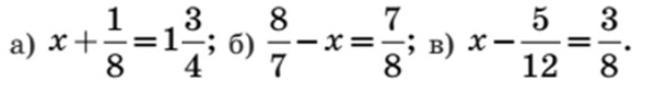
на картинке даю 100 балов (с подробнім решением)

Приложения:

Ответы

Ответ дал: savitskavictoria2012
1

Пошаговое объяснение:

якось так вийшло, надіюсь допомогла

Приложения:
Ответ дал: sofiia84265552456
1
Ост це точно правильно в мене теж ця тема
Приложения:

poputniypomogatel: поставлю лучший ответ но ты ведь на этом фото ничего не измени по сравнению с прошлым
Вас заинтересует