• Предмет: Математика
  • Автор: Аноним
  • Вопрос задан 10 лет назад

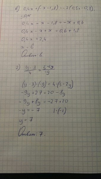
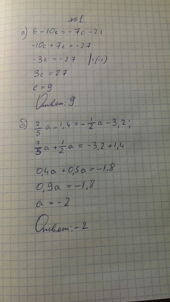
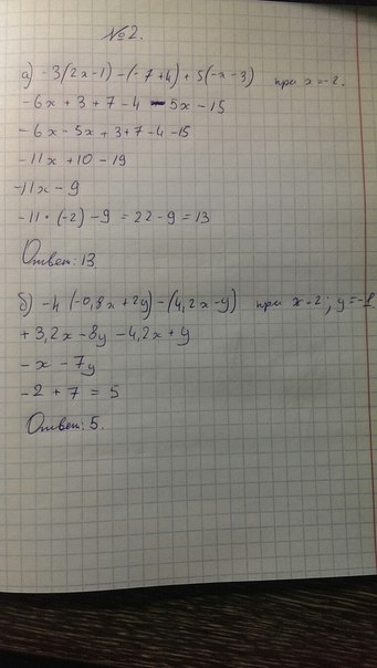
Много балов! Помогите пожалуйста мне)
Решите 1,2,3,4,5 и 6 номер!

Приложения:

Ответы

Ответ дал: Starburst001
0
Дальше лень стало решать(
помог? Ставь спасибо!
добавил №5 
Приложения:
Ответ дал: mmb1
0
=====================
Приложения:
Вас заинтересует