• Предмет: Алгебра
  • Автор: Аноним
  • Вопрос задан 2 года назад

Помогите пліс даю 38 юаллів

Приложения:

Ответы

Ответ дал: adikmineru
0

Ответ:

відповідь: -35

Объяснение:

радий допомогти :)

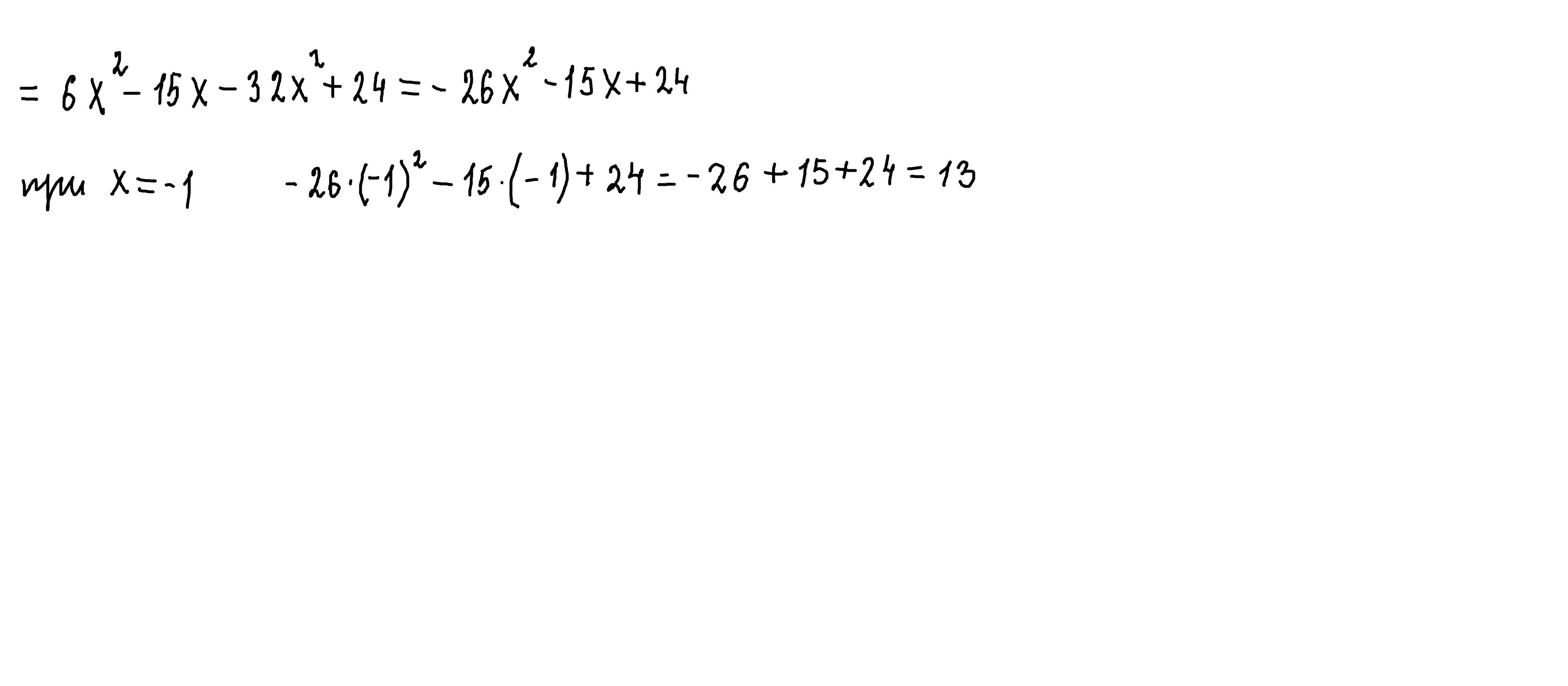
Ответ дал: parus77
0

Ответ:

13

Объяснение:

другой ответ

Приложения:
Вас заинтересует