• Предмет: Алгебра
  • Автор: kravcenkopetro23
  • Вопрос задан 2 года назад

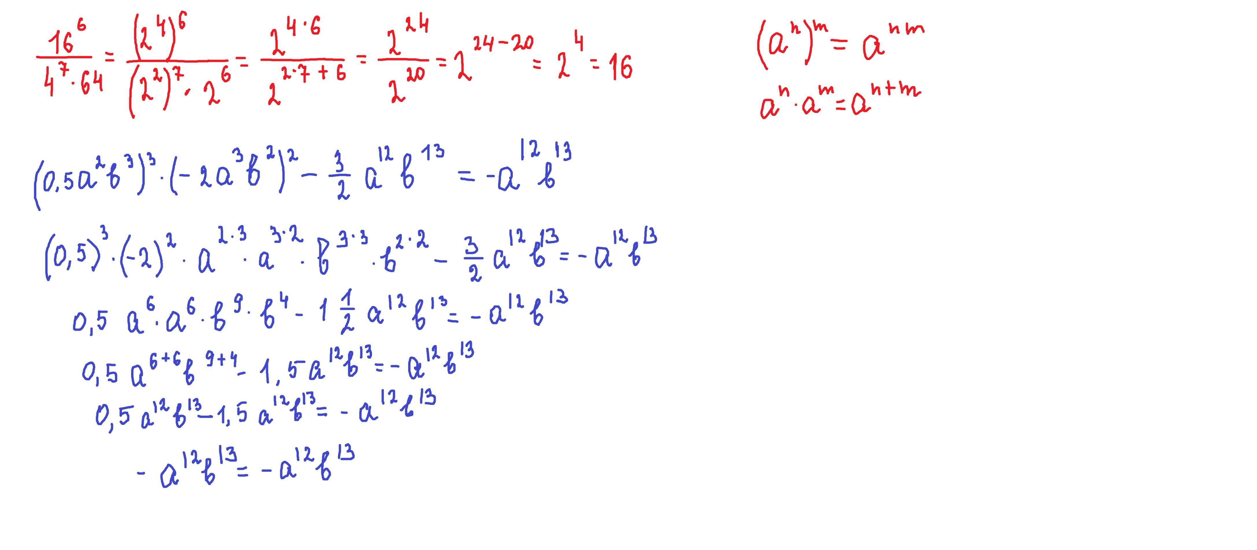
Обчисліть вираз.Швидко будь ласка.
Даю 50 балів

Приложения:

Аноним: скину розв‘язок в інст @mathematic_89

Ответы

Ответ дал: parus77
1

Ответ:

Объяснение:

решение внизу

Приложения:
Вас заинтересует