• Предмет: Алгебра
  • Автор: a41500380
  • Вопрос задан 1 год назад

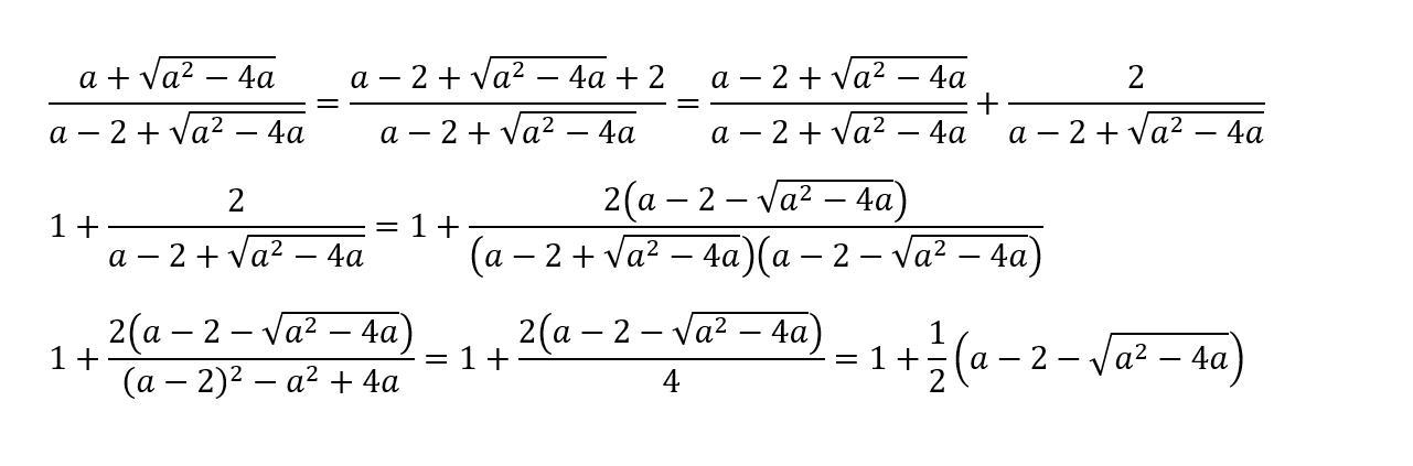
Избавьтесь от ирациональности в знаменателе

Приложения:

Ответы

Ответ дал: irahf23
2

Решение на фото.....

Приложения:

Пеппер: копия
Аноним: Мама отдаётся родному сыну (и нцест домашнее русское п орно)
Вас заинтересует