• Предмет: Алгебра
  • Автор: uhinamarina1709
  • Вопрос задан 1 год назад

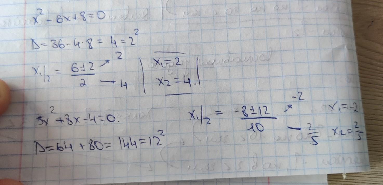
2. Определите, сколько корней имеет каждое уравнение, и найдите корни, если они существу- ют. a) x ^ 2 - 6x + 8 = 0
b) 5x ^ 2 + 8x - 4 = 0​

Ответы

Ответ дал: Fingerxxa
1

Ответ:

во вложении

Объяснение:

во вложении

Приложения:
Вас заинтересует