• Предмет: Алгебра
  • Автор: Anyaforger
  • Вопрос задан 1 год назад

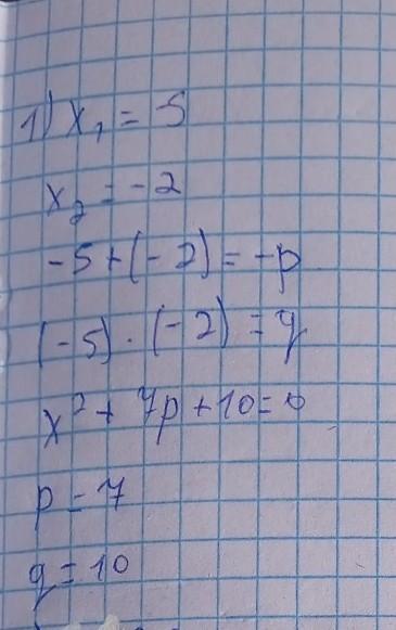
алгебра типо так ну ответь пжж​

Приложения:

Ответы

Ответ дал: laurabaybekova
1

Ответ:

правильно но вресто p бедет х х^2 + 7 x + 10 =0


Anyaforger: помоги
Anyaforger: у меня плохо с алгеброй
laurabaybekova: с самой задание что там написанно нужно сделать?
Anyaforger: помоги
Anyaforger: лаура
Anyaforger: пж
Anyaforger: номер 8.7 составить квадратные уравнения с корнями
Anyaforger: ща
Anyaforger: лаура
Anyaforger: пж
Вас заинтересует