• Предмет: Математика
  • Автор: nurtazarasul322
  • Вопрос задан 1 год назад

Ответ дайте
Срочно!!!!

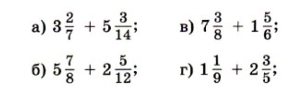
Приложения:

Ответы

Ответ дал: b8117752
0

Ответ:

а) 8 /49/12

Б) 7/121/96

В) 8/58/48

Г)3/32/45


b8117752: которые 2 по числу это верхние дроби
b8117752: а нижние это последние
Вас заинтересует