ребят срочно нужна помощь! два примера, прощу вас!
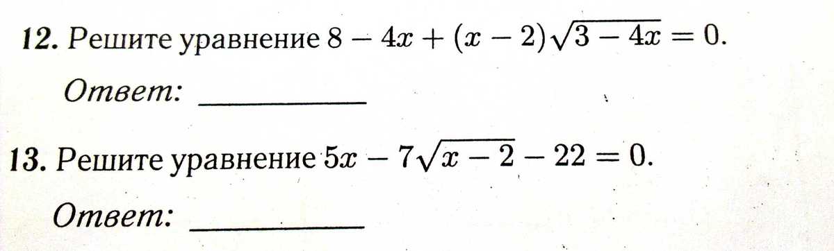
1. 8-4x+(x-2)√3-4x=0
2. 5x-7√x-2 -22=0
Приложения:

Ответы
Ответ дал:
0
13.
5x-22=7*sqrt(x-2)
ОДЗ: x>=2;
(5x-22)^2=49*(x-2)
25x^2+484-220x-49x+98=0
25x^2-269x+582=0
x=7,76;3
5x-22=7*sqrt(x-2)
ОДЗ: x>=2;
(5x-22)^2=49*(x-2)
25x^2+484-220x-49x+98=0
25x^2-269x+582=0
x=7,76;3
Вас заинтересует
2 года назад
2 года назад
8 лет назад
10 лет назад
10 лет назад
10 лет назад