Ответы
Ответ дал:
1
Ответ:
...............
Пошаговое объяснение:
..................
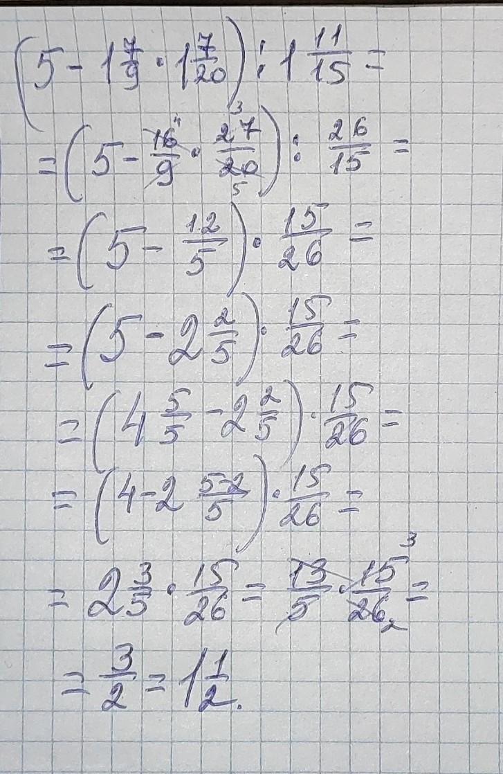
Приложения:

Ответ дал:
2
Пошаговое объяснение:
1) 1 7/9 * 1 7/20 = 16/9 * 27/20 = 4/1 * 3/5 = 12/5 = 2 2/5
2) 5 - 2 2/5 = 4 5/5 - 2 2/5 = 2 3/5
3) 2 3/5 : 1 11/15 = 13/5 : 26/15 = 13/5 * 15/26 = 1/1 * 3/2 =3/2 = 1 1/2
Вас заинтересует
1 год назад
1 год назад
1 год назад
2 года назад
2 года назад