• Предмет: Математика
  • Автор: kucheryaavyaa
  • Вопрос задан 1 год назад

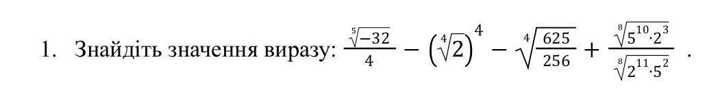
1. Знайдіть значення виразу: ​

Приложения:

Ответа на этот вопрос пока нет. Попробуйте найти его через форму поиска.

Вас заинтересует