100 балов,срочно,без джпт
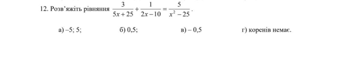
12
если вы просто выберете вариант ответа,я пожалуюсь и ваш ответ удалят, и балы на зачтут вам.
просьба решить
в профиле еще задания на 100 балов
Приложения:

Ответы
Ответ дал:
0
Ответ:
.............
Пошаговое объяснение:
...................
Приложения:

Вас заинтересует
1 год назад
1 год назад
1 год назад
2 года назад
2 года назад
8 лет назад
8 лет назад