Найти множество решений уравнения:
| z + 3 | = -| z + 12 |
Найти корни уравнения:
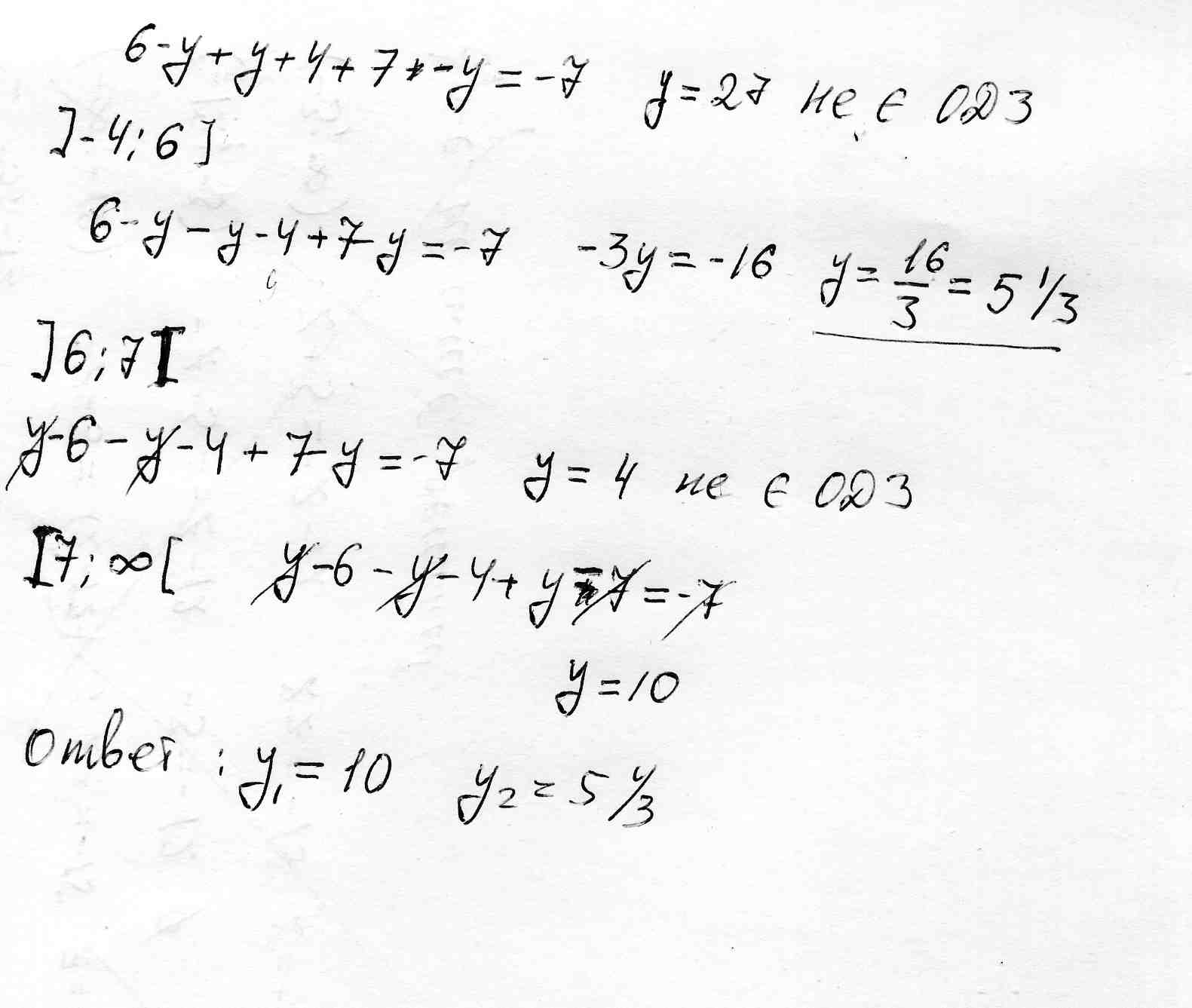
| y - 6 | - | y + 4 | + | y - 7 | = -7
Ответы
Ответ дал:
0
| y - 6 | - | y + 4 | + | y - 7 | = -7
одз: y приндлежит (-бесконечности до + бескон)
ответ у1=10 у2=5 1/3
Приложения:

Ответ дал:
0
первое уравнение имеет пустое множество решений.
Приложения:

Вас заинтересует
2 года назад
8 лет назад
8 лет назад
10 лет назад
10 лет назад
10 лет назад