Ответы
Ответ дал:
1
……………………………………………..лови
Приложения:

ilkolito:
спасибо
Ответ дал:
0
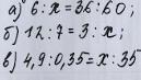
Ответ:
произведение крайних членов равно произведению средних членов
х×36=6×60
36х=360
х=360÷36
х=10
10×36=6×60
360=360
6÷10=36÷60
0,6=0,6
2)
12х=7×3
12х=21
х=21÷12
х=1,75
12×1,75=21
21=21
12÷7=3÷1,75
3)
0,35х=4,9×35
0,35х=171,5
х=171,5÷0,35
х=490
0,35×490=4,9×35
171,5=171,5
4,9÷0,35=490÷35
14=14
Вас заинтересует
1 год назад
1 год назад
1 год назад
1 год назад
2 года назад
8 лет назад
8 лет назад