• Предмет: Алгебра
  • Автор: Dillety
  • Вопрос задан 1 год назад

подробно не из фотомеса​

Приложения:

Ответы

Ответ дал: Universalka
1

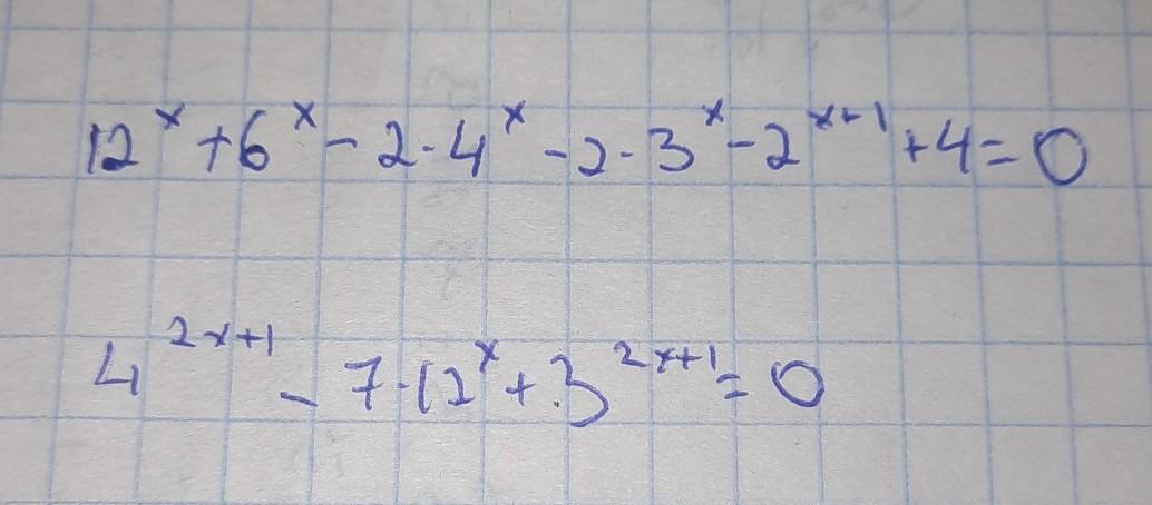
\displaystyle\bf\\12^{x} +6^{x} -2\cdot 4^{x} -2\cdot 3^{x} -2^{x+1} +4=0\\\\(12^{x} -2\cdot 4^{x} )+(6^{x} -2\cdot 2^{x} )-(2\cdot3^{x} -4)=0\\\\4^{x} \cdot(3^{x} -2)+2^{x} \cdot(3^{x} -2)-2\cdot(3^{x} -2)=0\\\\(3^{x} -2)\cdot(4^{x} +2^{x} -2)=0\\\\\\\left[\begin{array}{ccc}3^{x} -2=0\\4^{x} +2^{x} -2=0\end{array}\right\\\\\\1) \  \ 3^{x} -2=0\\\\3^{x} =2\\\\\log_{3} 3^{x} =\log_{3} 2\\\\\boxed{x_{1} =\log_{3} 2}

\displaystyle\bf\\2) \  \ 4^{x} +2^{x} -2=0\\\\(2^{x} )^{2} +2^{x} -2=0\\\\2^{x} =m \ , \ m > 0\\\\m^{2} +m-2=0\\\\m_{1} =1 \  \  \ ; \  \  \ m_{2} =-2 < 0 \ - \ ne \ podxodit\\\\2^{x}  =1 \  \ \Rightarrow \  \ 2^{x} =2^{0}  \  \  \ \Rightarrow \  \  \ x_{2} =0\\\\\\Otvet \ : \ \log_{3} 2 \  \ ; \  \ 0

\displaystyle\bf\\2)\\\\4^{2x+1} -7\cdot 12^{x} +3^{2x+1} =0\\\\4\cdot 16^{x} -7\cdot 12^{x} +3\cdot 9^{x} =0 \ > | : \ 9^{x} \\\\\\4\cdot\frac{16^{x} }{9^{x} } -7\cdot\frac{12^{x} }{9^{x} } +3\cdot\frac{9^{x} }{9^{x} } =0\\\\\\4\cdot\Big(\frac{4}{3}\Big)^{2x}  -7\cdot\Big(\frac{4}{3} \Big)^{x} +3=0\\\\\\\Big(\frac{4}{3} \Big)^{x} =m \  \ ; \  \ m > 0\\\\\\4m^{2} -7m+3=0\\\\D=(-7)^{2} -4\cdot 4\cdot 3=49-48=1\\\\\\m_{1}=\frac{7-1}{8}  =\frac{3}{4} \\\\\\m_{2} =\frac{7+1}{8} =1

\displaystyle\bf\\1)\\\\\Big(\frac{4}{3} \Big)^{x} =\frac{3}{4} \\\\\\\Big(\frac{4}{3} \Big)^{x} =\Big(\frac{4}{3} \Big)^{-1} \\\\\\x_{1} =-1\\\\2)\\\\\Big(\frac{4}{3} \Big)^{x} =1\\\\\\\Big(\frac{4}{3} \Big)^{x} =\Big(\frac{4}{3} \Big)^\circ \\\\\\x_{2} =0\\\\\\Otvet \ : \ -1 \  \ ; \  \ 0


Dillety: можешь ответить на последние мои вопросы, пожалуйста
Вас заинтересует