• Предмет: Математика
  • Автор: aizerekuanyshbai2013
  • Вопрос задан 1 год назад

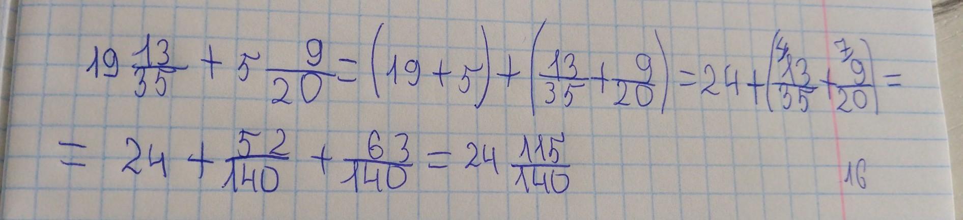
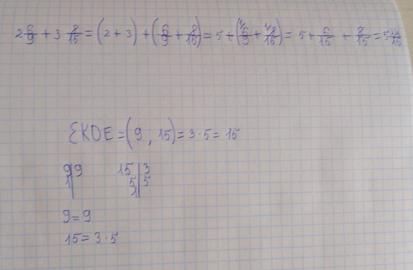
17 +2 18 2.1 9 16 4- Meke mape 5 12 8 15 8 56 5- 19- +3 13 35 +5 8 +6 9 24 +5 9 M 27/06 + 15 4 / 5 = 10 3 пжжжж с фоткой​

Приложения:

Ответы

Ответ дал: k8008692
1

Ответ:

  1. я могу только с первой помочь и возможно со второй

по типу так решай,вроде понятно,щяс помогу со второй решить

Приложения:

aizerekuanyshbai2013: 1 нужно
k8008692: ок
aizerekuanyshbai2013: Быстрее
k8008692: я пишу и думаю,мне бы было тоже легче сидеть чем решать
k8008692: вот со второй помогла
k8008692: ауу,ты поняла?
aizerekuanyshbai2013: Ок
k8008692: 3 помогла переписывай
aizerekuanyshbai2013: Окккк
k8008692: 4 готов,переписывай,ты на тесте?
Вас заинтересует