• Предмет: Алгебра
  • Автор: ivanskripnik772
  • Вопрос задан 2 года назад

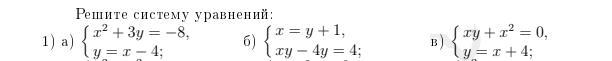
Решить системы уравнений

Приложения:

Ответы

Ответ дал: manid15
0

Ответ:

1738204729100202020

Объяснение:

38828282

Приложения:
Вас заинтересует