• Предмет: Алгебра
  • Автор: Аноним
  • Вопрос задан 10 лет назад

Помогите предел числовой последовательности

Приложения:

Ответы

Ответ дал: Artem112
0
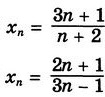
 lim_{n to infty}  cfrac{3n+1}{n+2} = lim_{n to infty}  cfrac{3+ cfrac{1}{n} }{1+ cfrac{2}{n} } = cfrac{3+ 0 }{1+ 0 } = cfrac{3}{1} =3
\\
 lim_{n to infty}  cfrac{2n+1}{3n-1} = lim_{n to infty}  cfrac{2+ cfrac{1}{n} }{3- cfrac{1}{n} } = cfrac{2+ 0 }{3- 0 } = cfrac{2}{3}
Ответ дал: Аноним
0
Спасибо разобрался!!
Вас заинтересует