• Предмет: Алгебра
  • Автор: Аноним
  • Вопрос задан 1 год назад

(x+2)²-(x-2)² за правилами різниці квадратів двох виразів пж срочно даю 45 баллов!!!

Ответы

Ответ дал: Ivan19074
1

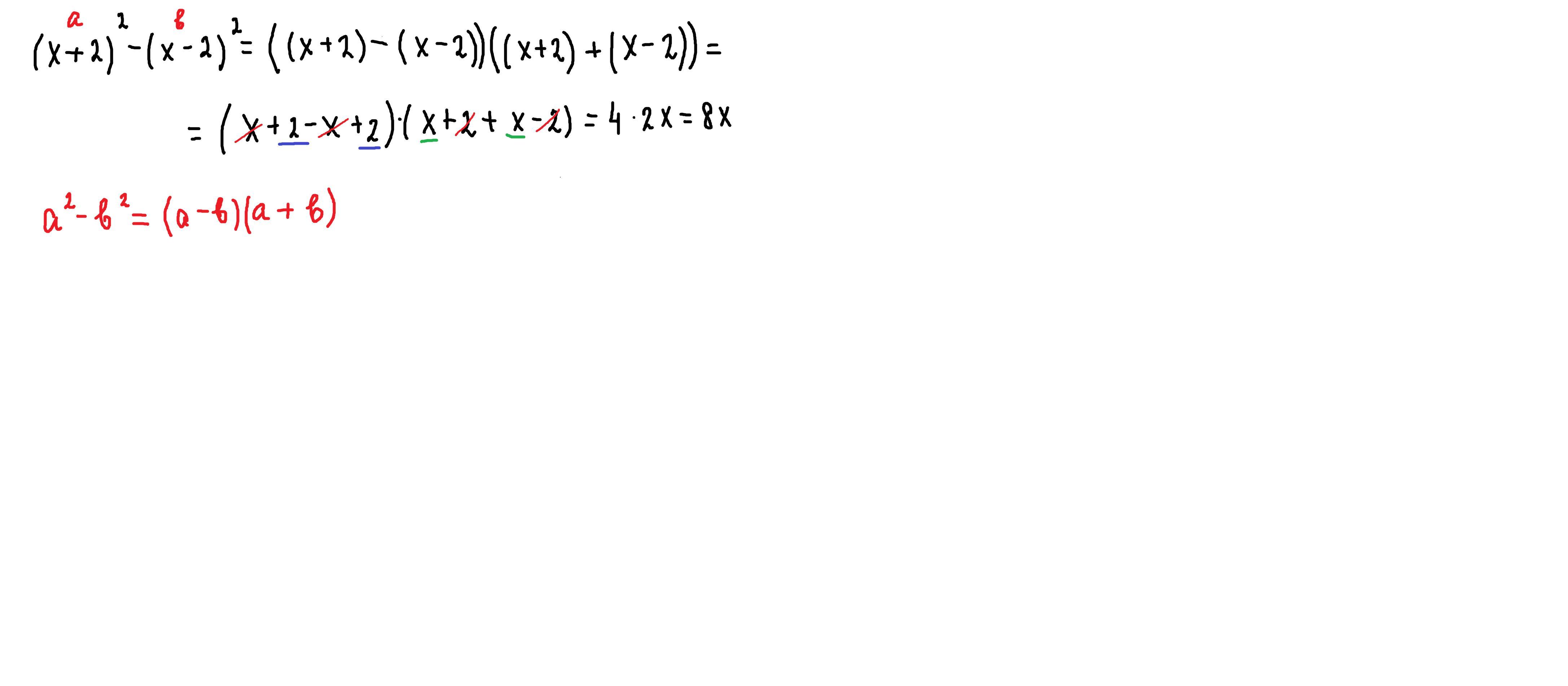
Ответ:

8x

Объяснение:

(x + 2)^2 - (x-2)^2 = (x+2-(x-2))(x+2+x-2) = 4(2x) = 8x


Аноним: Подожди
Аноним: Там не полное
Ответ дал: parus77
0

Ответ:

Объяснение:

решение внизу

Приложения:
Вас заинтересует