• Предмет: Алгебра
  • Автор: fctdgsygfdhngfxzgsac
  • Вопрос задан 1 год назад

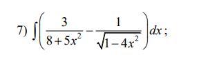
Користуючись методом розкладу, обчислити інтеграли.

Приложения:

Ответы

Ответ дал: NNNLLL54
1

Ответ:

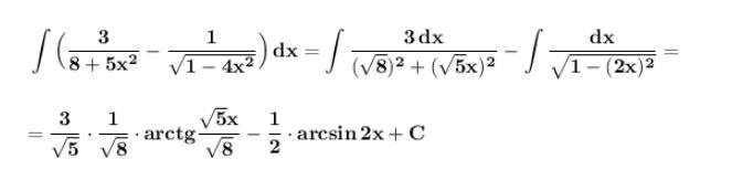
Найти неопределённый интеграл .

\bf \displaystyle \int \Big(\frac{3}{8+5x^2}-\frac{1}{\sqrt{1-4x^2}}\Big)\, dx=\int \frac{3\, dx}{(\sqrt8)^2+(\sqrt5x)^2}-\int \frac{dx}{\sqrt{1-(2x)^2}}=\\\\\\=\frac{3}{\sqrt5}\cdot \frac{1}{\sqrt8}\cdot arctg\frac{\sqrt5x}{\sqrt8}-\frac{1}{2}\cdot arcsin\, 2x+C  

Формулы :  

Приложения:

fctdgsygfdhngfxzgsac: спасибо большое)
Вас заинтересует