• Предмет: Математика
  • Автор: djdnf51
  • Вопрос задан 1 год назад

Срочнооо!!!!
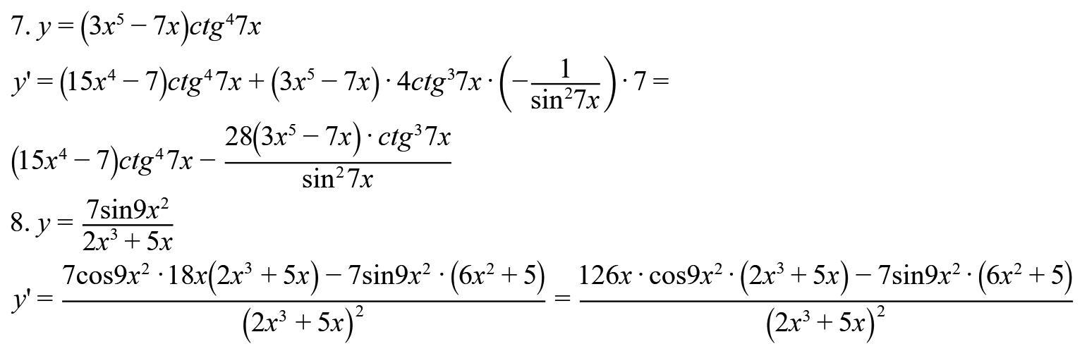
Найти производную
даю 25 баллов!!!!

Приложения:

Ответы

Ответ дал: palilov243659
2

Ответ:

Пошаговое объяснение:

////////////////////////////////////////////////////////////

Приложения:

djdnf51: Спасибо,можете ещё ответить на 2 мои вопросов по этой теме. В профиле они есть
djdnf51: пожалуйста
djdnf51: Добрый день,решите пожалуйста два моих здания в моем профиле
Очень срочно нужно!!!! Пожалуйста
Вас заинтересует