• Предмет: Алгебра
  • Автор: vlada164870
  • Вопрос задан 1 год назад

поможіть пжжжжжжжжжжжжжж даю 50 баліввв

Приложения:

7x8: хіба не є ділення замість множення?
vlada164870: ні

Ответы

Ответ дал: 7x8
0

Ответ:

\displaystyle \frac{96a^3}{a^4-8a^2+16}

Объяснение:

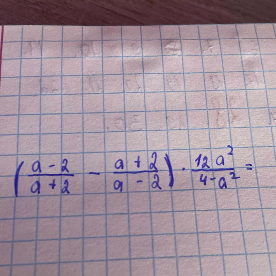
\displaystyle \left(\frac{a-2}{a+2}-\frac{a+2}{a-2}\right)\cdot\frac{12a^2}{4-a^2}=\\\\\\\left(\frac{(a-2)^2}{(a+2)(a-2)}-\frac{(a+2)^2}{(a+2)(a-2)}\right)\cdot\frac{-12a^2}{a^2-4}=\\\\\\\frac{(a-2)^2-(a+2)^2}{(a+2)(a-2)}\cdot\frac{-12a^2}{(a-2)(a+2)}=\\\\\\\frac{a^2-4a+4-(a^2+4a+4)}{(a+2)(a-2)}\cdot\frac{-12a^2}{(a-2)(a+2)}=

\displaystyle \frac{a^2-4a+4-a^2-4a-4}{(a+2)(a-2)}\cdot\frac{-12a^2}{(a-2)(a+2)}=\\\\\\\frac{-8a}{(a+2)(a-2)}\cdot\frac{-12a^2}{(a-2)(a+2)}=\\\\\\\frac{96a^3}{((a+2)(a-2))^2}=\\\\\\\frac{-8a}{(a+2)(a-2)}\cdot\frac{-12a^2}{(a-2)(a+2)}=\\\\\\\frac{96a^3}{(a^2-4)^2}=\frac{96a^3}{a^4-8a^2+16}

Вас заинтересует