• Предмет: Алгебра
  • Автор: vlada164870
  • Вопрос задан 2 года назад

пжжжжжжжжжжжжжжжжжжжжжж поможіть пліііс

Приложения:

Ответы

Ответ дал: 7x8
0

Ответ:

\displaystyle \frac{48(5a-2)}{a(a+2)(a-4)}

Объяснение:

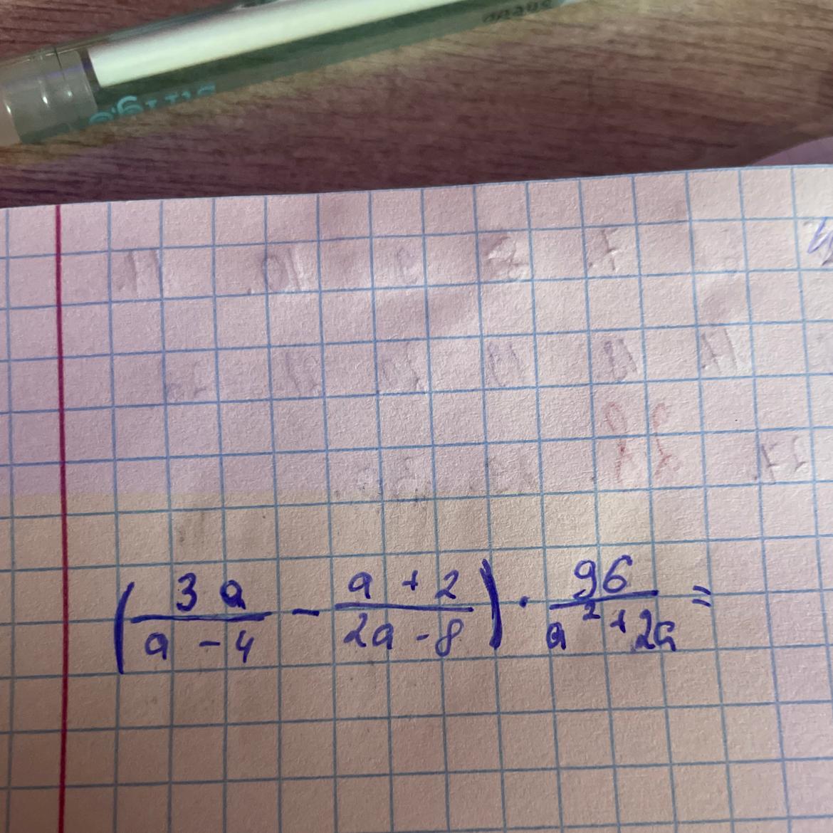
\displaystyle \left(\frac{3a}{a-4}-\frac{a+2}{2a-8}\right)\cdot\frac{96}{a^2+2a}=\\\\\\\left(\frac{3a}{a-4}-\frac{a+2}{2(a-4)}\right)\cdot\frac{96}{a(a+2)}=\\\\\\\left(\frac{3a\cdot 2}{2(a-4)}-\frac{a+2}{2(a-4)}\right)\cdot\frac{96}{a(a+2)}=\\\\\\\frac{6a-(a+2)}{2(a-4)}\cdot\frac{48}{a(a+2)}=\\\\\\\frac{6a-a-2}{(a-4)}\cdot\frac{48}{a(a+2)}=\\\\\\\frac{5a-2}{a-4}\cdot\frac{48}{a(a+2)}=\\\\\\\frac{48(5a-2)}{a(a+2)(a-4)}

Вас заинтересует