• Предмет: Алгебра
  • Автор: linssilkki
  • Вопрос задан 1 год назад

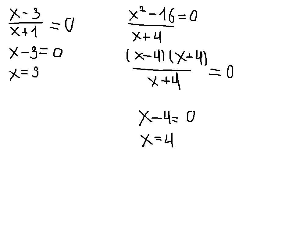
БУДУ ДУЖЕ ВДЯЧНА ЯКЩО ВІДПОВІДЬ БУДЕ НА ЛИСТОЧКУ

Приложения:

Ответы

Ответ дал: dburanova365
1

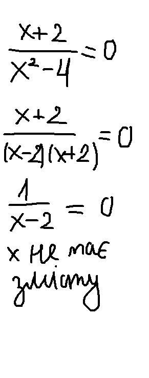
Сподіваюсь, що все зрозуміло

Приложения:
Вас заинтересует