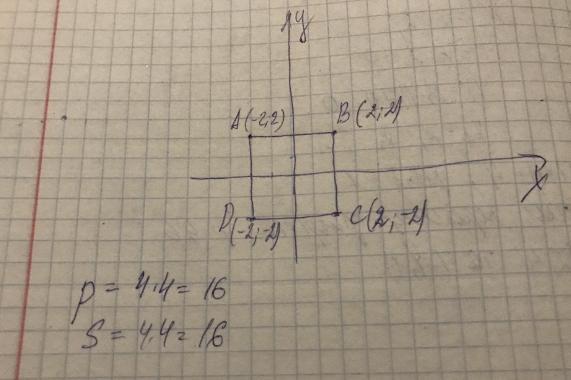
2) Побудуй квадрат ABCD за координатами його вершин: А (3; 2), В (7; 2), C (7; 6), D (3; 6). Проведи діагоналі цього квадрата і знайди координати їх точки перетину.
терміново!!!
Ответы
Ответ дал:
0
Відповідь:на фото
Покрокове пояснення:
все на фото
Приложения:

Вас заинтересует
1 год назад
1 год назад
1 год назад
1 год назад
2 года назад
8 лет назад