• Предмет: Алгебра
  • Автор: garila575
  • Вопрос задан 1 год назад

Решите срочно с обьяснением даю 10 балов

Приложения:

Ответы

Ответ дал: sergt2008
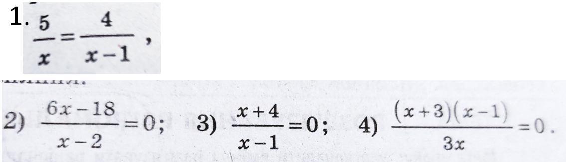
1

Ответ:

1.) 5

2.) 3

3.) -4

4.) -3 и 1

Объяснение:

1. 5/х = 4/(х-1)

ОДЗ: х≠0 х≠1

5/х - 4/(х-1) = 0

(5*(х - 1) - 4*х) / х*(х - 1) =0

5х - 5 - 4х = 0

х=5

2. (6х - 18)/(х - 2) = 0

ОДЗ: х≠2

6х - 18 = 0

6х = 18

х = 18:6=3

3. (х + 4)/ (х - 1)=0

ОДЗ: х≠1

х + 4=0

х= -4

4. (х +3)*(х - 1)/3х = 0

ОДЗ: х≠0

(х +3)*(х - 1) = 0

х1= -3

х2= 1

Вас заинтересует