Ответы
Ответ дал:
1
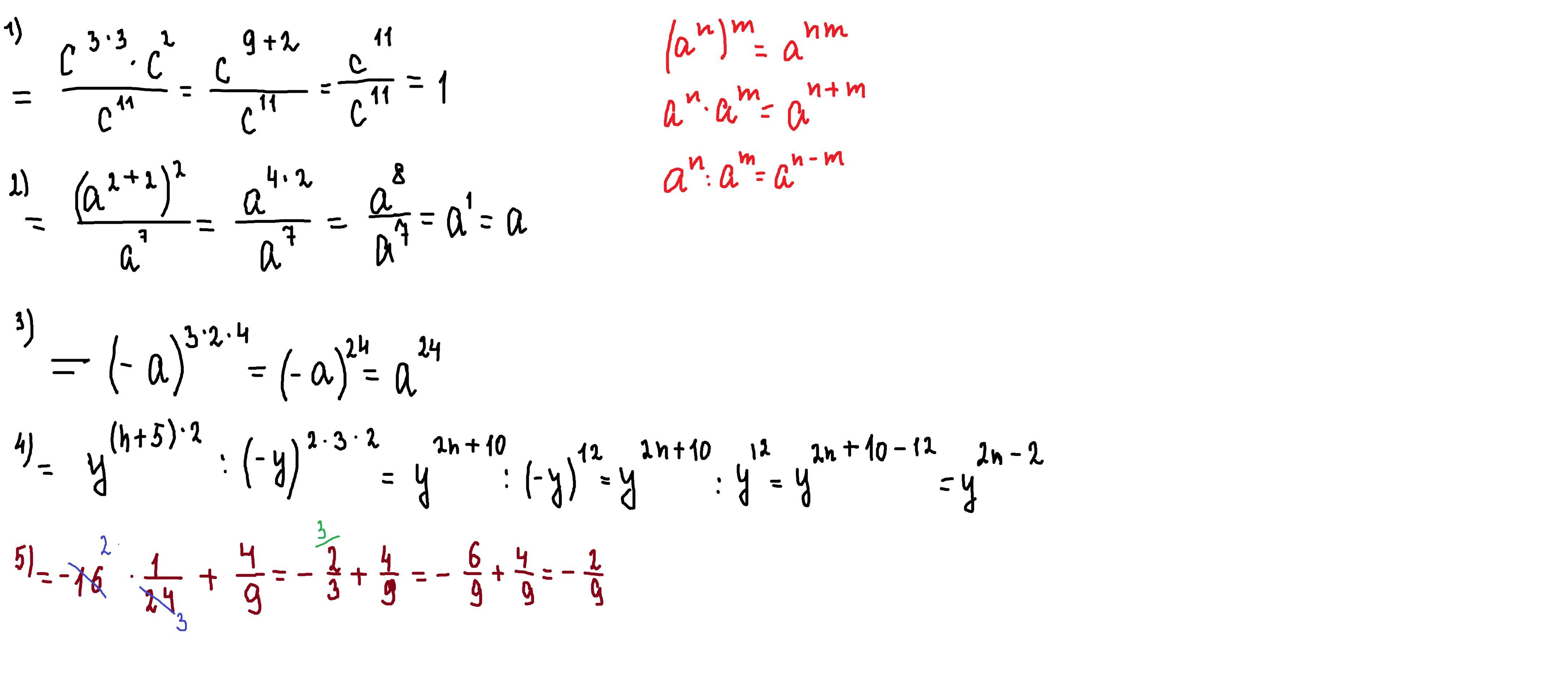
Ответ:
Объяснение:
решение и формулы внизу
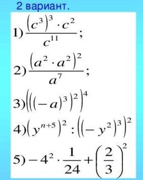
Приложения:

kayoshik:
дякую!!!
Вас заинтересует
1 год назад
1 год назад
1 год назад
2 года назад
8 лет назад