• Предмет: Алгебра
  • Автор: sofiagliva777
  • Вопрос задан 2 года назад

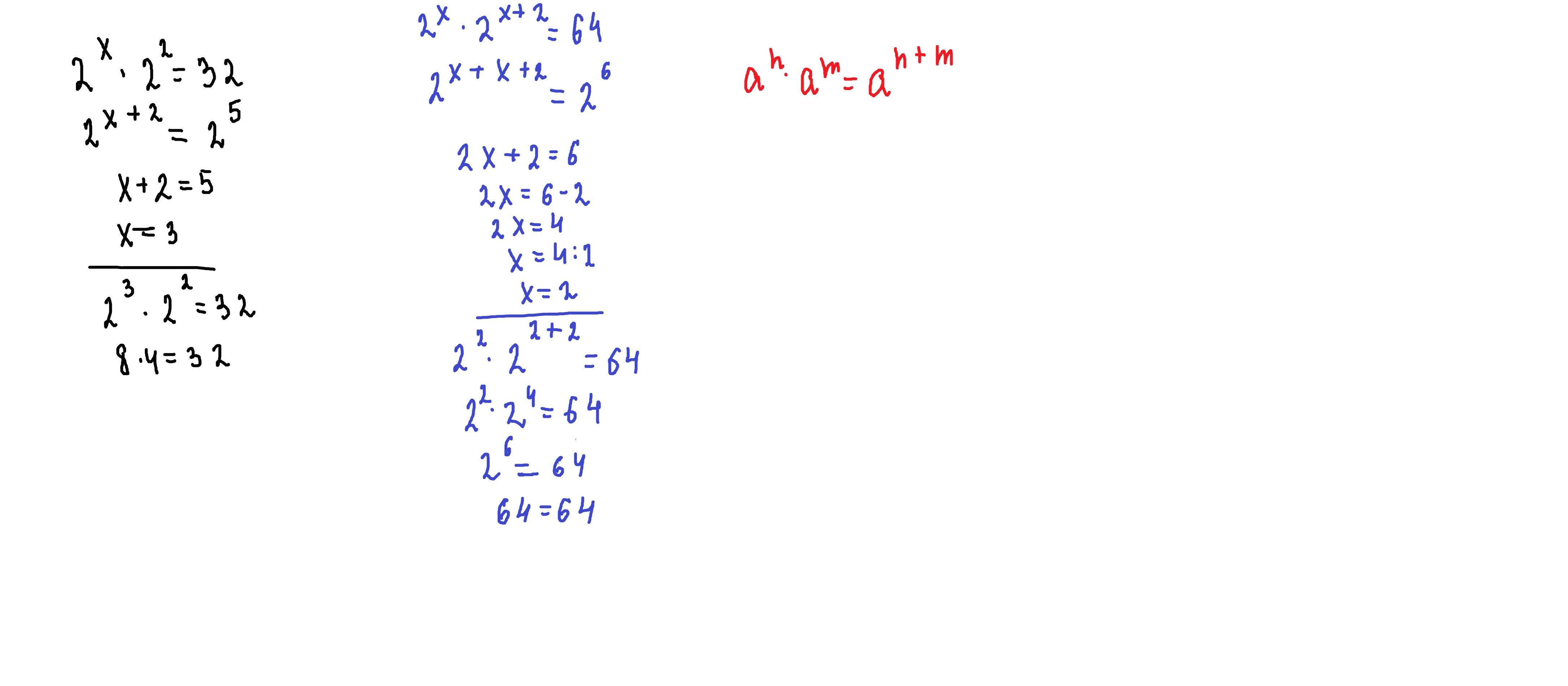
63.(2,3) При яких значеннях змінної вірна рівність?
2)2^х*2^2=32;
3)2^х*2^х+2=64.

Пж срочно, отправляю 2 раз!

Ответы

Ответ дал: parus77
1

Ответ:

Объяснение:

решение внизу

Приложения:

zefirk79: Помогите пожалуйста с алгеброй последнее в профиле.
sofiagliva777: Спасибо большое!
Вас заинтересует